Сколько нужно зарабатывать для одобрения ипотеки на квартиру в 2025 году

Требования к зарплатам для одобрения ипотеки достигают 730 тыс. рублей Для одобрения ипотеки на однушку в некоторых мегаполисах нужно получать втрое больше средних зарплат по региону, на двушку — впятеро больше, а на трешку — почти всемеро. В одну зарплату не уложатся ни в одном миллионнике Жителям российских мегаполисов, которые получают среднюю по региону зарплату, в 2025 …

Конвертер перевода единиц мг/л в мг-экв/л

Жёсткость воды — это показатель содержания в ней солей щелочных металлов. Для отображения качественных показателей воды может использоваться общая жёсткость воды (Жо) измеряемая в мг/л или градус жёсткости (оЖ) – мг-экв/л принятый в России основной единицей измерения. Для быстрого перевода мг/л в мг-экв/л воспользуйтесь конвертером единиц. Общая жёсткость складывается и двух видов жёсткости: временной Жв (карбонатной) …

Что делать если соседи шумят днём и ночью, куда обращаться

Даже в качественном многоквартирном доме (МКД) с хорошей звукоизоляцией, найдутся люди, не соблюдающие правила совместного проживания. Как поступить, если соседи шумят, делают ремонт в неположенное время, мешают спать ночью и не дают отдохнуть днём? Как и куда пожаловаться на соседей за шум, можно ли решить дело мирным путём, какие действия предпринять — обо всём этом …

Как сделать коптилку горячего копчения

Хотя диетологи утверждают, что копчёности вредны для организма, любителей таких продуктов, это не останавливает. Кто-то покупает деликатесы в магазине, а кто-то предпочитает готовить их самостоятельно. В устройстве коптильни горячего способа копчения нет ничего сложного. Мы расскажем, как и из чего, может быть сделана коптилка горячего копчения своими руками. Самодельная коптилка горячего и холодного копчения Горячее …

Как сделать коптилку холодного копчения своими руками, материалы, чертежи

Если вы предпочитаете натуральные продукты, вместо суррогатов, обработанных жидким дымом, которые в основном встречаются на прилавках, то домашняя коптильня холодного копчения, сделанная своими руками — то, что вам нужно. В статье рассмотрим основные вопросы, связанные с холодным копчением: принцип работы, преимущества, виды конструкций. Коптилка холодного копчения из дерева совмещена с кирпичной топкой Принцип работы коптильни …

Онлайн калькулятор расчета тока по мощности

Делая проводку под новый, мощный электроприбор или собирая электрощиток в квартире, нужно знать максимальный ток потребляемый прибором или на линии от щитка. Это необходимо для правильного подбора автомата защиты от перегрузки и проводов по сечению. Калькулятор поможет сделать расчёт тока по мощности при работе от однофазной сети переменного тока. Для расчёта силы тока используется формула: …

Калькулятор расчета ёмкости пускового и рабочего конденсатора для электродвигателя

Асинхронные электродвигатели широко используются на производстве и в быту. По конструкции могут быть выполнены в трёхфазном варианте или однофазном. Наиболее эффективные показатели двигателей достигаются при подключении трёхфазного напряжения питания 380 вольт. С включением в однофазную сеть для нормального старта электромотора, необходимо использовать пусковой конденсатор. Предложенный ниже калькулятор поможет сделать расчёт пускового конденсатора.   В расчётах …

Приготовление клейстера в домашних условиях: 9 простых рецептов

Собираясь клеить обои, мы идём в магазин и приобретаем обойный клей, считая, что это лучший выход. Применение готового клея экономит время, а результат хороший. Но если вы любите делать всё своими руками, хотите сэкономить или клея нужно совсем чуть-чуть, то можно заменить его клейстером. В статье расскажем, из чего и как сварить клейстер самостоятельно. Правильно …

Онлайн калькулятор набора прочности бетона

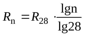
После заливки бетона начинается процесс его затвердевания. Зная его прочность на данный день, можно принимать решение о снятии опалубки и начале строительства. С помощью калькулятора вы рассчитаете, какую твёрдость набрал бетон за время прошедшее с его заливки при температуре 15°С. Чтобы было понятно, давайте рассмотрим, как осуществляется расчёт и какие данные используются. Но сначала определимся – …

Сколько времени должен высыхать бетон

Оттого как правильно высыхает бетон, зависит его прочность и долговечность. При организации строительного процесса учитываются нормативы СНиП, регламентирующие время, отведённое для набора твёрдости. В среднем считается, что на высыхание бетона уходит 28 дней при температуре 20 ℃. На это влияет несколько факторов. Сколько бетону сохнуть, и отчего это зависит — в этой статье. Заливка бетоном …